| 索 引 号 | szfb/2023-00209 | 发布机构 | 市政府办 | ||
| 公开目录 | 招考录用 | 发布日期 | 2023-02-13 10:09 | ||
| 名 称 | 2022年下半年365bet娱乐官_365bet进不去_office365 登录事业单位公开招聘(募) 工作人员面试成绩、考试总成绩、进入体检人员及考察安排的公告 | ||||
| 时 效 | 主题分类 | 人事工作 | 文 种 | ||
各有关考生:
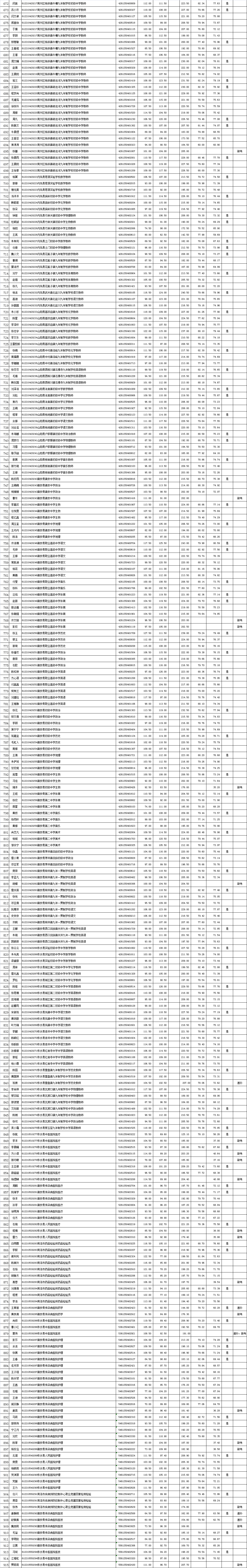
按照《2022年下半年365bet娱乐官_365bet进不去_office365 登录事业单位公开招聘(募)工作人员公告》、《陕西省事业单位公开招聘工作人员实施办法》等相关规定,现将2022年下半年365bet娱乐官_365bet进不去_office365 登录事业单位公开招聘参加面试人员笔试总成绩、面试成绩、考试总成绩,以及进入体检人员情况予以公布(详见附件一),并就体检、考察安排公告如下:
一、体检对象:
按照《2022年下半年365bet娱乐官_365bet进不去_office365 登录事业单位公开招聘(募)工作人员公告》的规定,根据考试总成绩从高到低的顺序,按照与岗位招聘计划1:1的比例,确定进入体检人员。
二、体检的标准:
体检在二级以上医院进行,体检标准除行业有特殊要求外,参照《公务员录用体检通用标准(试行)》及有关规定执行。
三、体检时间:
2023年2月13日(星期一)
四、集合地点
1、请参加2月11日面试的考生于2月13日(星期一)早上7:30到达商州区北新街47号百利购物广场门口(商洛军分区隔壁)集合,统一前往体检医院。
2、请参加2月12日面试的考生于2月13日(星期一)早上7:30前到达365bet娱乐官_365bet进不去_office365 登录人力资源市场门前(万达广场1号门对面)集合,统一前往体检医院。
五、体检费用
按有关规定,体检费用由考生自理,请自备现金420元整。
六、注意事项
1.考生参加体检时,须携带本人笔试准考证和有效期内身份证原件。
2.参加体检的考生在体检当天早上要禁食、禁水,保持空腹。体检前一天请注意休息,勿饮酒,避免剧烈运动。
3.请考生提前查询交通路线,适当安排路途时间,按时到场,并注意交通安全。
4.凡应聘人员未按规定时间、地点参加体检的,视为自愿放弃。体检不合格的,取消应聘资格。因应聘人员放弃或体检不合格形成的缺额,从该招聘岗位参加面试且面试成绩不低于60分的人员中,按照考试总成绩从高到低依次递补,只递补一次。体检合格人员进入考察。
5.到达集合地点后要听从工作人员的安排,体检未结束考生不得离开。
6.考生应自备符合防疫要求的一次性医用口罩、消毒湿巾等防疫用品。从进入医院至离开医院期间全程佩戴口罩(核验身份信息时应摘下口罩)。
7.请所有参加体检考生保持所留电话畅通。
8. 考察工作将于2月15日至2月21日进行,报考市直事业单位招聘岗位经体检合格人员、考察工作由市直各事业单位主管部门会同招聘单位负责;报考县区事业单位招聘岗位经体检合格人员、考察工作由各县区人社局负责。(详见附件2)
附件:
1、2022年下半年365bet娱乐官_365bet进不去_office365 登录事业单位公开招聘工作人员笔试总成绩、面试成绩、考试总成绩及进入体检人员名单
2、考察咨询电话:

365bet娱乐官_365bet进不去_office365 登录人力资源和社会保障局
2023年2月12日




扫描打开手机端